
各位机动车驾驶人:
根据中华人民共和国公安部第162号《机动车驾驶证申领和使用规定》第七十九条、第八十条规定的情形,下列机动车驾驶证被依法注销、吊销,目前所持有的机动车驾驶证作废。
附:1、驾驶证注销、吊销公告明细
2、“70周岁以上逾期未提交身体条件证明”驾驶证注销可恢复明细
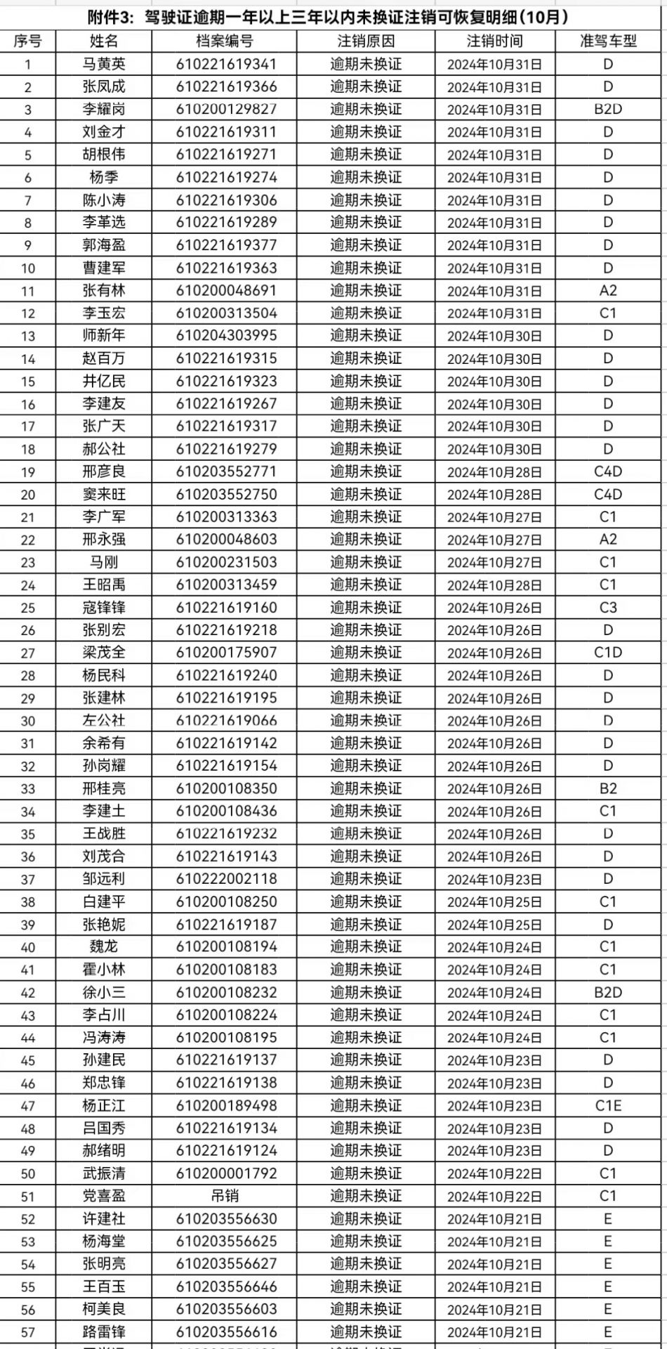
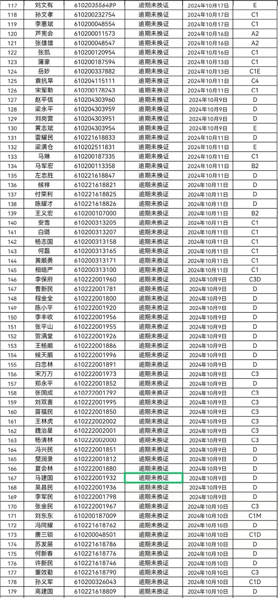
3、“逾期一年以上三年以内未换证”驾驶证注销可恢复明细
铜川市公安局交通警察支队
2024年11月4日






陕公网安备61020102000095号
陕ICP备20001780号 铜川公安交警云服务©2021