驾驶证逾期未换证、未审验、满分未学习温馨提示
发布者:铜川公安交警 发布时间:2025-08-27 16:05:20

机动车驾驶人:   

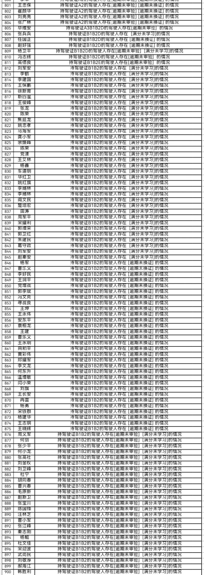
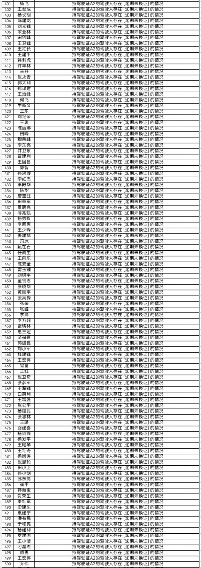
       下列AB类机动车驾驶证状态存在“逾期未换证、未审验、满分未学习”情况,为了不影响驾驶证的正常使用,请驾驶人及时向机动车驾驶证核发地或核发地以外的车辆管理所办理换证、审验、满分学习业务(已办理请忽略)。                                                                             

                                             铜川市公安局交警支队

                                                  2025年8月27日


上一页:夏秋季交通安全大整治行动|严查严处,向“飙车炸街”说“不!” 下一页:机动车驾驶证作废公告